Chapter 8 Population Projection I: Projection Simulations
Now that I know that the right time has come
My prediction will surely be true
Projection matrices are typically used in population ecology with the aim of prediction, or of understanding the typical demographic properties of a population. In a projection analysis, one or more matrices are multiplied by a starting vector of individual numbers in each stage, typically referred to as a population vector. A general equation showing the process of projection is shown below.
\[\begin{equation} \mathbf{n_t} = \mathbf{A_t A_{t-1} \cdots A_1 n_0} \tag{8.1} \end{equation}\]
Here, each \(\mathbf{A_i}\) represents the matrix to be used at time \(i\). The original population vector is \(\mathbf{n_0}\), and this object is a one-column vector with the same number of rows as there are columns (and rows) in the projection matrix or matrices. This projection can be any number of time steps forward, perhaps only a small number to see how a particular management regime might impact population dynamics in the immediate term, or perhaps a very large number to assess equilibrial states and long-term patterns, such as cycles, plateaus, or chaos.
Package lefko3
provides a series of functions that can be used to run projections. Some are functions for special cases, such as deterministic or stochastic projections (see chapters 9 and 10, respectively). In this chapter, we will describe two functions that may be used for all general cases. We will also describe some simple uses of these functions. Details on advanced use of these functions will be described in chapters 9, 10, and 11. At the very end of this chapter we also introduce some functions to help manage projection output.
8.1 General projection functions
Package lefko3
provides two functions for general projection: projection3()
and f_projection3()
. The former is used to project matrices that have already been developed and exist within lefkoMat
objects. The latter is used to take vital rate models and build new function-based matrices for each time step.
Many kinds of projections are possible with these functions, including deterministic, ordered, cyclical, and stochastic, all with and without density dependence. Let’s turn to two specific kinds of analyses that we might use these functions for:
- Simple projections of a specific time length
- Ordered or cyclical projections of a specific time length
We will use the Cypripedium candidum dataset for examples for both functions.
8.1.1 Set up for projection3()
examples
Function projection3()
allows us to project existing matrices, contained within lefkoMat
objects. Let’s set up our examples using the following life history model, which was originally introduced in chapter 3.

Here is the full code to build our raw Cypripedium MPMs below.
data(cypdata)
sizevector <- c(0, 0, 0, 0, 0, 0, 1, 3, 6, 11, 19.5)
stagevector <- c("SD", "P1", "P2", "P3", "SL", "D", "XSm", "Sm", "Md", "Lg",
"XLg")
repvector <- c(0, 0, 0, 0, 0, 0, 1, 1, 1, 1, 1)
obsvector <- c(0, 0, 0, 0, 0, 0, 1, 1, 1, 1, 1)
matvector <- c(0, 0, 0, 0, 0, 1, 1, 1, 1, 1, 1)
immvector <- c(0, 1, 1, 1, 1, 0, 0, 0, 0, 0, 0)
propvector <- c(1, 0, 0, 0, 0, 0, 0, 0, 0, 0, 0)
indataset <- c(0, 0, 0, 0, 0, 1, 1, 1, 1, 1, 1)
binvec <- c(0, 0, 0, 0, 0, 0.5, 0.5, 1.5, 1.5, 3.5, 5)
comments <- c("Dormant seed", "1st yr protocorm", "2nd yr protocorm",
"3rd yr protocorm", "Seedling", "Dormant adult",
"Extra small adult (1 shoot)", "Small adult (2-4 shoots)",
"Medium adult (5-7 shoots)", "Large adult (8-14 shoots)",
"Extra large adult (>14 shoots)")
cypframe_raw <- sf_create(sizes = sizevector, stagenames = stagevector,
repstatus = repvector, obsstatus = obsvector, matstatus = matvector,
propstatus = propvector, immstatus = immvector, indataset = indataset,
binhalfwidth = binvec, comments = comments)
cypraw_v1 <- verticalize3(data = cypdata, noyears = 6, firstyear = 2004,
patchidcol = "patch", individcol = "plantid", blocksize = 4,
sizeacol = "Inf2.04", sizebcol = "Inf.04", sizeccol = "Veg.04",
repstracol = "Inf.04", repstrbcol = "Inf2.04", fecacol = "Pod.04",
stageassign = cypframe_raw, stagesize = "sizeadded", NAas0 = TRUE,
NRasRep = TRUE)
seeds_per_fruit <- 5000
sl_mult <- 0.7
cypsupp2_raw <- supplemental(stage3 = c("SD", "P1", "P2", "P3", "SL", "SL", "D",
"XSm", "Sm", "SD", "P1"),
stage2= c("SD", "SD", "P1", "P2", "P3", "SL", "SL", "SL", "SL", "rep", "rep"),
eststage3 = c(NA, NA, NA, NA, NA, NA, "D", "XSm", "Sm", NA, NA),
eststage2 = c(NA, NA, NA, NA, NA, NA, "XSm", "XSm", "XSm", NA, NA),
givenrate = c(0.08, 0.10, 0.10, 0.10, 0.05, 0.05, NA, NA, NA, NA, NA),
multiplier = c(NA, NA, NA, NA, NA, NA, sl_mult, sl_mult, sl_mult,
0.5 * seeds_per_fruit, 0.5 * seeds_per_fruit),
type =c(1, 1, 1, 1, 1, 1, 1, 1, 1, 3, 3),
stageframe = cypframe_raw, historical = FALSE)
cypsupp3_raw <- supplemental(stage3 = c("SD", "SD", "P1", "P1", "P2", "P2",
"P3", "SL", "SL", "SL", "D", "XSm", "Sm", "D", "XSm", "Sm", "mat", "mat",
"mat", "SD", "P1"),
stage2 = c("SD", "SD", "SD", "SD", "P1", "P1", "P2", "P3", "SL", "SL", "SL",
"SL", "SL", "SL", "SL", "SL", "D", "XSm", "Sm", "rep", "rep"),
stage1 = c("SD", "rep", "SD", "rep", "SD", "rep", "P1", "P2", "P3", "SL",
"SL", "SL", "SL", "P3", "P3", "P3", "SL", "SL", "SL", "mat", "mat"),
eststage3 = c(NA, NA, NA, NA, NA, NA, NA, NA, NA, NA, "D", "XSm", "Sm", "D",
"XSm", "Sm", "mat", "mat", "mat", NA, NA),
eststage2 = c(NA, NA, NA, NA, NA, NA, NA, NA, NA, NA, "XSm", "XSm", "XSm",
"XSm", "XSm", "XSm", "D", "XSm", "Sm", NA, NA),
eststage1 = c(NA, NA, NA, NA, NA, NA, NA, NA, NA, NA, "XSm", "XSm", "XSm",
"XSm", "XSm", "XSm", "XSm", "XSm", "XSm", NA, NA),
givenrate = c(0.08, 0.10, 0.10, 0.10, 0.10, 0.10, 0.10, 0.05, 0.05, 0.05, NA,
NA, NA, NA, NA, NA, NA, NA, NA, NA, NA),
multiplier = c(NA, NA, NA, NA, NA, NA, NA, NA, NA, NA, sl_mult, sl_mult,
sl_mult, sl_mult, sl_mult, sl_mult, 1, 1, 1, 0.5 * seeds_per_fruit,
0.5 * seeds_per_fruit),
type =c(1, 1, 1, 1, 1, 1, 1, 1, 1, 1, 1, 1, 1, 1, 1, 1, 1, 1, 1, 3, 3),
stageframe = cypframe_raw, historical = TRUE)
cypmatrix2r <- rlefko2(data = cypraw_v1, stageframe = cypframe_raw,
year = "all", stages = c("stage3", "stage2"),
size = c("size3added", "size2added"), supplement = cypsupp2_raw,
yearcol = "year2", indivcol = "individ")
cypmatrix2rp <- rlefko2(data = cypraw_v1, stageframe = cypframe_raw,
year = "all", patch = "all", stages = c("stage3", "stage2"),
size = c("size3added", "size2added"), supplement = cypsupp2_raw,
yearcol = "year2", patchcol = "patchid", indivcol = "individ")
cypmatrix3r <- rlefko3(data = cypraw_v1, stageframe = cypframe_raw,
year = "all", stages = c("stage3", "stage2", "stage1"),
size = c("size3added", "size2added", "size1added"), supplement = cypsupp3_raw,
yearcol = "year2", indivcol = "individ", sparse_output = TRUE)
cypmatrix3rp <- rlefko3(data = cypraw_v1, stageframe = cypframe_raw,
year = "all", patch = "all", stages = c("stage3", "stage2", "stage1"),
size = c("size3added", "size2added", "size1added"), supplement = cypsupp3_raw,
yearcol = "year2", patchcol = "patchid", indivcol = "individ",
sparse_output = TRUE)
We have four MPMs. The first two, cypmatrix2r
and cypmatrix2rp
, are ahistorical MPMs at the population and patch level, respectively. The next two, cypmatrix3r
and cypmatrix3rp
, are historical MPMs at the population and patch level, respectively. Let’s see their summaries to jumpstart our memories about them.
summary(cypmatrix2r)
>
> This ahistorical lefkoMat object contains 5 matrices.
>
> Each matrix is square with 11 rows and columns, and a total of 121 elements.
> A total of 120 survival transitions were estimated, with 24 per matrix.
> A total of 40 fecundity transitions were estimated, with 8 per matrix.
> This lefkoMat object covers 1 population, 1 patch, and 5 time steps.
>
> The dataset contains a total of 74 unique individuals and 320 unique transitions.
>
> Survival probability sum check (each matrix represented by column in order):
> [,1] [,2] [,3] [,4] [,5]
> Min. 0.000 0.050 0.050 0.000 0.050
> 1st Qu. 0.100 0.140 0.140 0.100 0.140
> Median 0.689 0.870 0.864 0.610 0.882
> Mean 0.552 0.629 0.629 0.528 0.627
> 3rd Qu. 1.000 1.000 1.000 0.960 1.000
> Max. 1.000 1.000 1.000 1.000 1.000
summary(cypmatrix2rp)
>
> This ahistorical lefkoMat object contains 15 matrices.
>
> Each matrix is square with 11 rows and columns, and a total of 121 elements.
> A total of 266 survival transitions were estimated, with 17.733 per matrix.
> A total of 70 fecundity transitions were estimated, with 4.667 per matrix.
> This lefkoMat object covers 1 population, 3 patches, and 5 time steps.
>
> The dataset contains a total of 74 unique individuals and 320 unique transitions.
>
> Survival probability sum check (each matrix represented by column in order):
> [,1] [,2] [,3] [,4] [,5] [,6] [,7] [,8] [,9] [,10] [,11] [,12]
> Min. 0.000 0.000 0.000 0.000 0.000 0.000 0.050 0.050 0.000 0.050 0.000 0.000
> 1st Qu. 0.075 0.025 0.075 0.025 0.075 0.075 0.140 0.140 0.100 0.140 0.100 0.100
> Median 0.180 0.100 0.180 0.100 0.180 0.180 0.909 0.778 0.686 0.857 0.750 0.575
> Mean 0.457 0.361 0.471 0.328 0.417 0.464 0.631 0.611 0.530 0.631 0.562 0.523
> 3rd Qu. 0.955 0.769 1.000 0.592 0.781 1.000 1.000 1.000 0.955 1.000 1.000 1.000
> Max. 1.000 1.000 1.000 1.000 1.000 1.000 1.000 1.000 1.000 1.000 1.000 1.000
> [,13] [,14] [,15]
> Min. 0.000 0.000 0.000
> 1st Qu. 0.075 0.075 0.100
> Median 0.180 0.180 0.750
> Mean 0.432 0.450 0.562
> 3rd Qu. 0.875 1.000 1.000
> Max. 1.000 1.000 1.000
summary(cypmatrix3r)
>
> This historical lefkoMat object contains 4 matrices.
>
> Each matrix is square with 121 rows and columns, and a total of 14641 elements.
> A total of 242 survival transitions were estimated, with 60.5 per matrix.
> A total of 54 fecundity transitions were estimated, with 13.5 per matrix.
> This lefkoMat object covers 1 population, 1 patch, and 4 time steps.
>
> The dataset contains a total of 74 unique individuals and 320 unique transitions.
>
> Survival probability sum check (each matrix represented by column in order):
> [,1] [,2] [,3] [,4]
> Min. 0.000 0.000 0.000 0.000
> 1st Qu. 0.000 0.000 0.000 0.000
> Median 0.000 0.000 0.000 0.000
> Mean 0.173 0.179 0.166 0.198
> 3rd Qu. 0.100 0.100 0.100 0.100
> Max. 1.000 1.000 1.000 1.000
summary(cypmatrix3rp)
>
> This historical lefkoMat object contains 12 matrices.
>
> Each matrix is square with 121 rows and columns, and a total of 14641 elements.
> A total of 516 survival transitions were estimated, with 43 per matrix.
> A total of 70 fecundity transitions were estimated, with 5.833 per matrix.
> This lefkoMat object covers 1 population, 3 patches, and 4 time steps.
>
> The dataset contains a total of 74 unique individuals and 320 unique transitions.
>
> Survival probability sum check (each matrix represented by column in order):
> [,1] [,2] [,3] [,4] [,5] [,6] [,7] [,8] [,9] [,10] [,11]
> Min. 0.000 0.0000 0.0000 0.000 0.000 0.000 0.00 0.000 0.000 0.0000 0.000
> 1st Qu. 0.000 0.0000 0.0000 0.000 0.000 0.000 0.00 0.000 0.000 0.0000 0.000
> Median 0.000 0.0000 0.0000 0.000 0.000 0.000 0.00 0.000 0.000 0.0000 0.000
> Mean 0.107 0.0945 0.0851 0.101 0.158 0.158 0.14 0.169 0.119 0.0851 0.119
> 3rd Qu. 0.000 0.0000 0.0000 0.000 0.100 0.100 0.05 0.100 0.000 0.0000 0.000
> Max. 1.000 1.0000 1.0000 1.000 1.000 1.000 1.00 1.000 1.000 1.0000 1.000
> [,12]
> Min. 0.000
> 1st Qu. 0.000
> Median 0.000
> Mean 0.144
> 3rd Qu. 0.000
> Max. 1.000
That’s essentially all of the core set-up for function projection3()
. Now let’s move on to setting up the examples for f_projection3()
.
8.1.2 Set-up for f_projection3()
examples
Function projection3()
allows users to project matrices forward in time, but is limited to cases in which we have already developed MPMs and wish to project using only those matrices. What if we wished to create a new matrix at each time step, perhaps because changing conditions should alter basic vital rates at each time step? Function-based projection through function f_projection3()
provides us with the flexibility to construct custom matrices at each time step given some set of conditions that we are interested in. The price paid is that it takes extra time to develop matrices at each time step in the projection, making standard MPM projection through function projection3()
preferable except in cases where custom matrices are genuinely needed at each time step.
What sorts of situations might require custom matrices at each time step? One obvious situation is when matrices are to be built using set values of an individual or environmental covariate. For example, we may have developed a set of vital rate models that have relationships with climatic variables that are likely to change in the future. We might then wish to project the population forward under different climate change scenarios, with vectors of specific values of these climatic variables derived from climate prediction models (e.g., Shefferson et al. 2017). In this circumstance, using already made matrices in some sequence will not likely be of much help to us because matrices should change at each time step as a function of climate. Instead, we should create new matrices at each projected time, using values of the climatic variables that are relevant.
Let’s also explore this with the Cypripedium candidum dataset, as in the projection3()
case. We introduced the model and code for for our stageframe and supplements in Chapter 2, and showed how to build function-based MPMs with all of this material in Chapter 5. Let’s look again at the life history model that we will use (note that this is the same as figure 2.3).

This is a fairly large life history model with two adult life stages for each number of sprouts - a reproductive stage that flowers and a non-reproductive stage that does not flower. Let’s load the raw dataset and set up the stageframe first.
data(cypdata)
stagevector <- c("SD", "P1", "P2", "P3", "SL", "D", "V1", "V2", "V3", "V4",
"V5", "V6", "V7", "V8", "V9", "V10", "V11", "V12", "V13", "V14", "V15", "V16",
"V17", "V18", "V19", "V20", "V21", "V22", "V23", "V24", "F1", "F2", "F3",
"F4", "F5", "F6", "F7", "F8", "F9", "F10", "F11", "F12", "F13", "F14", "F15",
"F16", "F17", "F18", "F19", "F20", "F21", "F22", "F23", "F24")
indataset <- c(0, 0, 0, 0, 0, rep(1, 49))
sizevector <- c(0, 0, 0, 0, 0, seq(from = 0, t = 24), seq(from = 1, to = 24))
repvector <- c(0, 0, 0, 0, 0, rep(0, 25), rep(1, 24))
obsvector <- c(0, 0, 0, 0, 0, 0, rep(1, 48))
matvector <- c(0, 0, 0, 0, 0, rep(1, 49))
immvector <- c(0, 1, 1, 1, 1, rep(0, 49))
propvector <- c(1, rep(0, 53))
comments <- c("Dormant seed", "Yr1 protocorm", "Yr2 protocorm", "Yr3 protocorm",
"Seedling", "Veg dorm", "Veg adult 1 stem", "Veg adult 2 stems",
"Veg adult 3 stems", "Veg adult 4 stems", "Veg adult 5 stems",
"Veg adult 6 stems", "Veg adult 7 stems", "Veg adult 8 stems",
"Veg adult 9 stems", "Veg adult 10 stems", "Veg adult 11 stems",
"Veg adult 12 stems", "Veg adult 13 stems", "Veg adult 14 stems",
"Veg adult 15 stems", "Veg adult 16 stems", "Veg adult 17 stems",
"Veg adult 18 stems", "Veg adult 19 stems", "Veg adult 20 stems",
"Veg adult 21 stems", "Veg adult 22 stems", "Veg adult 23 stems",
"Veg adult 24 stems", "Flo adult 1 stem", "Flo adult 2 stems",
"Flo adult 3 stems", "Flo adult 4 stems", "Flo adult 5 stems",
"Flo adult 6 stems", "Flo adult 7 stems", "Flo adult 8 stems",
"Flo adult 9 stems", "Flo adult 10 stems", "Flo adult 11 stems",
"Flo adult 12 stems", "Flo adult 13 stems", "Flo adult 14 stems",
"Flo adult 15 stems", "Flo adult 16 stems", "Flo adult 17 stems",
"Flo adult 18 stems", "Flo adult 19 stems", "Flo adult 20 stems",
"Flo adult 21 stems", "Flo adult 22 stems", "Flo adult 23 stems",
"Flo adult 24 stems")
cypframe_fb <- sf_create(sizes = sizevector, stagenames = stagevector,
repstatus = repvector, obsstatus = obsvector, matstatus = matvector,
propstatus = propvector, immstatus = immvector, indataset = indataset,
comments = comments)
Now let’s standardize the dataset into a historically formatted vertical (hfv) data frame. We will also need to introduce our annual covariate, total annual precipitation. These data were derived from the National Centers for Environmental Information and the U.S. National Oceanic and Atmospheric Administration. We can either incorporate this variable as a series of individual covariates in our vertical dataset, or use the core dataset without them and introduce them in the modelsearch()
call as annual covariates. We will insert these climatic data as constants into the data frame holding the dataset so that we can illustrate the former approach.
cypdata_env <- cypdata
cypdata_env$prec.04 <- 92.2
cypdata_env$prec.05 <- 57.6
cypdata_env$prec.06 <- 96.0
cypdata_env$prec.07 <- 109.8
cypdata_env$prec.08 <- 111.9
cypdata_env$prec.09 <- 106.8
cypfb_env <- verticalize3(data = cypdata_env, noyears = 6, firstyear = 2004,
patchidcol = "patch", individcol = "plantid", blocksize = 4,
sizeacol = "Inf2.04", sizebcol = "Inf.04", sizeccol = "Veg.04",
repstracol = "Inf.04", repstrbcol = "Inf2.04", fecacol = "Pod.04",
indcovacol = c("prec.04", "prec.05", "prec.06", "prec.07", "prec.08",
"prec.09"), stageassign = cypframe_fb, stagesize = "sizeadded",
NAas0 = TRUE, age_offset = 4)
summary_hfv(cypfb_env)
>
> This hfv dataset contains 320 rows, 60 variables, 1 population,
> 3 patches, 74 individuals, and 5 time steps.
> rowid popid patchid individ year2
> Min. : 1.00 Length:320 A: 93 Min. : 164.0 Min. :2004
> 1st Qu.:21.00 Class :character B:154 1st Qu.: 391.0 1st Qu.:2005
> Median :37.50 Mode :character C: 73 Median : 453.0 Median :2006
> Mean :38.45 Mean : 651.5 Mean :2006
> 3rd Qu.:56.00 3rd Qu.: 476.0 3rd Qu.:2007
> Max. :77.00 Max. :1560.0 Max. :2008
> firstseen lastseen obsage obslifespan
> Min. :2004 Min. :2004 Min. :5.000 Min. :0.000
> 1st Qu.:2004 1st Qu.:2009 1st Qu.:6.000 1st Qu.:5.000
> Median :2004 Median :2009 Median :7.000 Median :5.000
> Mean :2004 Mean :2009 Mean :6.853 Mean :4.556
> 3rd Qu.:2004 3rd Qu.:2009 3rd Qu.:8.000 3rd Qu.:5.000
> Max. :2008 Max. :2009 Max. :9.000 Max. :5.000
> sizea1 sizeb1 sizec1 size1added
> Min. :0.000000 Min. : 0.0000 Min. : 0.0 Min. : 0.000
> 1st Qu.:0.000000 1st Qu.: 0.0000 1st Qu.: 0.0 1st Qu.: 0.000
> Median :0.000000 Median : 0.0000 Median : 1.0 Median : 2.000
> Mean :0.009375 Mean : 0.7469 Mean : 1.9 Mean : 2.656
> 3rd Qu.:0.000000 3rd Qu.: 1.0000 3rd Qu.: 3.0 3rd Qu.: 4.000
> Max. :1.000000 Max. :18.0000 Max. :13.0 Max. :21.000
> repstra1 repstrb1 repstr1added feca1
> Min. : 0.0000 Min. :0.000000 Min. : 0.0000 Min. :0.0000
> 1st Qu.: 0.0000 1st Qu.:0.000000 1st Qu.: 0.0000 1st Qu.:0.0000
> Median : 0.0000 Median :0.000000 Median : 0.0000 Median :0.0000
> Mean : 0.7469 Mean :0.009375 Mean : 0.7562 Mean :0.2656
> 3rd Qu.: 1.0000 3rd Qu.:0.000000 3rd Qu.: 1.0000 3rd Qu.:0.0000
> Max. :18.0000 Max. :1.000000 Max. :18.0000 Max. :7.0000
> fec1added indcova1 obsstatus1 repstatus1
> Min. :0.0000 Min. : 0.00 Min. :0.0000 Min. :0.0000
> 1st Qu.:0.0000 1st Qu.: 57.60 1st Qu.:0.0000 1st Qu.:0.0000
> Median :0.0000 Median : 92.20 Median :1.0000 Median :0.0000
> Mean :0.2656 Mean : 70.64 Mean :0.7469 Mean :0.2875
> 3rd Qu.:0.0000 3rd Qu.: 96.00 3rd Qu.:1.0000 3rd Qu.:1.0000
> Max. :7.0000 Max. :109.80 Max. :1.0000 Max. :1.0000
> fecstatus1 matstatus1 alive1 stage1
> Min. :0.0000 Min. :0.0000 Min. :0.0000 Length:320
> 1st Qu.:0.0000 1st Qu.:1.0000 1st Qu.:1.0000 Class :character
> Median :0.0000 Median :1.0000 Median :1.0000 Mode :character
> Mean :0.1344 Mean :0.7688 Mean :0.7688
> 3rd Qu.:0.0000 3rd Qu.:1.0000 3rd Qu.:1.0000
> Max. :1.0000 Max. :1.0000 Max. :1.0000
> stage1index sizea2 sizeb2 sizec2
> Min. : 0.00 Min. :0.000000 Min. : 0.0000 Min. : 0.000
> 1st Qu.: 6.00 1st Qu.:0.000000 1st Qu.: 0.0000 1st Qu.: 1.000
> Median : 8.00 Median :0.000000 Median : 0.0000 Median : 2.000
> Mean :14.17 Mean :0.009375 Mean : 0.8969 Mean : 2.416
> 3rd Qu.:31.00 3rd Qu.:0.000000 3rd Qu.: 1.0000 3rd Qu.: 3.000
> Max. :51.00 Max. :1.000000 Max. :18.0000 Max. :13.000
> size2added repstra2 repstrb2 repstr2added
> Min. : 0.000 Min. : 0.0000 Min. :0.000000 Min. : 0.0000
> 1st Qu.: 1.000 1st Qu.: 0.0000 1st Qu.:0.000000 1st Qu.: 0.0000
> Median : 2.000 Median : 0.0000 Median :0.000000 Median : 0.0000
> Mean : 3.322 Mean : 0.8969 Mean :0.009375 Mean : 0.9062
> 3rd Qu.: 4.000 3rd Qu.: 1.0000 3rd Qu.:0.000000 3rd Qu.: 1.0000
> Max. :24.000 Max. :18.0000 Max. :1.000000 Max. :18.0000
> feca2 fec2added indcova2 obsstatus2
> Min. :0.0000 Min. :0.0000 Min. : 57.60 Min. :0.0000
> 1st Qu.:0.0000 1st Qu.:0.0000 1st Qu.: 92.20 1st Qu.:1.0000
> Median :0.0000 Median :0.0000 Median : 96.00 Median :1.0000
> Mean :0.2906 Mean :0.2906 Mean : 92.77 Mean :0.9531
> 3rd Qu.:0.0000 3rd Qu.:0.0000 3rd Qu.:109.80 3rd Qu.:1.0000
> Max. :7.0000 Max. :7.0000 Max. :111.90 Max. :1.0000
> repstatus2 fecstatus2 matstatus2 alive2 stage2
> Min. :0.0000 Min. :0.0000 Min. :1 Min. :1 Length:320
> 1st Qu.:0.0000 1st Qu.:0.0000 1st Qu.:1 1st Qu.:1 Class :character
> Median :0.0000 Median :0.0000 Median :1 Median :1 Mode :character
> Mean :0.3688 Mean :0.1562 Mean :1 Mean :1
> 3rd Qu.:1.0000 3rd Qu.:0.0000 3rd Qu.:1 3rd Qu.:1
> Max. :1.0000 Max. :1.0000 Max. :1 Max. :1
> stage2index sizea3 sizeb3 sizec3
> Min. : 6.00 Min. :0.000000 Min. : 0.000 Min. : 0.000
> 1st Qu.: 7.00 1st Qu.:0.000000 1st Qu.: 0.000 1st Qu.: 1.000
> Median :10.00 Median :0.000000 Median : 0.000 Median : 1.000
> Mean :18.17 Mean :0.009375 Mean : 1.069 Mean : 2.209
> 3rd Qu.:32.00 3rd Qu.:0.000000 3rd Qu.: 1.000 3rd Qu.: 3.000
> Max. :54.00 Max. :1.000000 Max. :18.000 Max. :13.000
> size3added repstra3 repstrb3 repstr3added
> Min. : 0.000 Min. : 0.000 Min. :0.000000 Min. : 0.000
> 1st Qu.: 1.000 1st Qu.: 0.000 1st Qu.:0.000000 1st Qu.: 0.000
> Median : 2.000 Median : 0.000 Median :0.000000 Median : 0.000
> Mean : 3.288 Mean : 1.069 Mean :0.009375 Mean : 1.078
> 3rd Qu.: 4.000 3rd Qu.: 1.000 3rd Qu.:0.000000 3rd Qu.: 1.000
> Max. :24.000 Max. :18.000 Max. :1.000000 Max. :18.000
> feca3 fec3added indcova3 obsstatus3 repstatus3
> Min. :0.0000 Min. :0.0000 Min. : 57.6 Min. :0.0 Min. :0.0
> 1st Qu.:0.0000 1st Qu.:0.0000 1st Qu.: 96.0 1st Qu.:1.0 1st Qu.:0.0
> Median :0.0000 Median :0.0000 Median :106.8 Median :1.0 Median :0.0
> Mean :0.4562 Mean :0.4562 Mean : 96.1 Mean :0.9 Mean :0.4
> 3rd Qu.:0.0000 3rd Qu.:0.0000 3rd Qu.:109.8 3rd Qu.:1.0 3rd Qu.:1.0
> Max. :8.0000 Max. :8.0000 Max. :111.9 Max. :1.0 Max. :1.0
> fecstatus3 matstatus3 alive3 stage3
> Min. :0.0000 Min. :1 Min. :0.0000 Length:320
> 1st Qu.:0.0000 1st Qu.:1 1st Qu.:1.0000 Class :character
> Median :0.0000 Median :1 Median :1.0000 Mode :character
> Mean :0.2219 Mean :1 Mean :0.9469
> 3rd Qu.:0.0000 3rd Qu.:1 3rd Qu.:1.0000
> Max. :1.0000 Max. :1 Max. :1.0000
> stage3index
> Min. : 0.00
> 1st Qu.: 7.00
> Median :10.00
> Mean :18.57
> 3rd Qu.:33.00
> Max. :54.00
Now we will load the ahistorical supplement table that we will use for the ahistorical projections. We will not work with the historical version with f_projection3()
in this chapter due to the increased amount of processing time required for the historical modelsearch()
run.
seeds_per_fruit <- 5000 # Mean number of seeds per fruit
sl_mult <- 0.7 # Product of assumed germination prob and survival to 1st year
cypsupp2_fb <- supplemental(stage3 = c("SD", "P1", "P2", "P3", "SL", "SL", "D",
"V1", "V2", "V3", "SD", "P1"),
stage2 = c("SD", "SD", "P1", "P2", "P3", "SL", "SL", "SL", "SL", "SL", "rep",
"rep"),
eststage3 = c(NA, NA, NA, NA, NA, NA, "D", "V1", "V2", "V3", NA, NA),
eststage2 = c(NA, NA, NA, NA, NA, NA, "D", "D", "D", "D", NA, NA),
givenrate = c(0.08, 0.1, 0.1, 0.1, 0.05, 0.05, NA, NA, NA, NA, NA, NA),
multiplier = c(NA, NA, NA, NA, NA, NA, sl_mult, sl_mult, sl_mult, sl_mult,
0.5 * seeds_per_fruit, 0.5 * seeds_per_fruit),
type = c("S", "S", "S", "S", "S", "S", "S", "S", "S", "S", "R", "R"),
stageframe = cypframe_fb, historical = FALSE)
cypsupp2_fb
> stage3 stage2 stage1 age2 eststage3 eststage2 eststage1 estage2 givenrate
> 1 SD SD <NA> NA <NA> <NA> <NA> NA 0.08
> 2 P1 SD <NA> NA <NA> <NA> <NA> NA 0.10
> 3 P2 P1 <NA> NA <NA> <NA> <NA> NA 0.10
> 4 P3 P2 <NA> NA <NA> <NA> <NA> NA 0.10
> 5 SL P3 <NA> NA <NA> <NA> <NA> NA 0.05
> 6 SL SL <NA> NA <NA> <NA> <NA> NA 0.05
> 7 D SL <NA> NA D D <NA> NA NA
> 8 V1 SL <NA> NA V1 D <NA> NA NA
> 9 V2 SL <NA> NA V2 D <NA> NA NA
> 10 V3 SL <NA> NA V3 D <NA> NA NA
> 11 SD rep <NA> NA <NA> <NA> <NA> NA NA
> 12 P1 rep <NA> NA <NA> <NA> <NA> NA NA
> multiplier convtype convtype_t12
> 1 NA 1 1
> 2 NA 1 1
> 3 NA 1 1
> 4 NA 1 1
> 5 NA 1 1
> 6 NA 1 1
> 7 0.7 1 1
> 8 0.7 1 1
> 9 0.7 1 1
> 10 0.7 1 1
> 11 2500.0 3 1
> 12 2500.0 3 1
Next, let’s determine the proper distributions for size and fecundity. As a reminder, size in the Cypripedium dataset is given as the numbers of sprouts, and our proxy for fecundity can be either the number of flowers or the number of fruits produced by an individual. So, size and fecundity in this dataset are all non-negative integers. Count variables generally break the assumptions of the Gaussian distribution because the mean and variance are strongly related, possible values are discrete rather than continuous, and the data distributions are often dramatically skewed. Additionally, because we have absorbed individuals with a size of zero into the dormant stage, there are no zeros left for the size model and so we will need a zero-truncated distribution. Fecundity, in contrast, is a count variable that includes zeros, and so we should test whether we need a zero-inflated model. As for which specific distributions to use, we will use function hfv_qc()
to make this determination.
hfv_qc(data = cypfb_env, vitalrates = c("surv", "obs", "size", "repst", "fec"),
size = c("size3added", "size2added", "size1added"),
indcova = c("indcova3", "indcova2", "indcova1"))
> Survival:
>
> Data subset has 61 variables and 320 transitions.
>
> Variable alive3 has 0 missing values.
> Variable alive3 is a binomial variable.
>
> Numbers of categories in data subset in possible random variables:
> indiv id: 74
> year2: 5
> indcova: 5
>
> A total of 6 individuals have only single transitions.
>
>
> Observation status:
>
> Data subset has 61 variables and 303 transitions.
>
> Variable obsstatus3 has 0 missing values.
> Variable obsstatus3 is a binomial variable.
>
> Numbers of categories in data subset in possible random variables:
> indiv id: 70
> year2: 5
> indcova: 5
>
> A total of 6 individuals have only single transitions.
>
>
> Primary size:
>
> Data subset has 61 variables and 288 transitions.
>
> Variable size3added has 0 missing values.
> Variable size3added appears to be an integer variable.
>
> Variable size3added is fully positive, lacking even 0s.
>
> Overdispersion test:
> Mean size3added is 3.653
> The variance in size3added is 13.41
> The probability of this dispersion level by chance assuming that
> the true mean size3added = variance in size3added,
> and an alternative hypothesis of overdispersion, is 3.721e-138
> Variable size3added is significantly overdispersed.
>
> Zero-inflation and truncation tests:
> Mean lambda in size3added is 0.02592
> The actual number of 0s in size3added is 0
> The expected number of 0s in size3added under the null hypothesis is 7.465
> The probability of this deviation in 0s from expectation by chance is 0.9964
> Variable size3added is not significantly zero-inflated.
>
> Variable size3added does not include 0s, suggesting that a zero-truncated distribution may be warranted.
>
> Numbers of categories in data subset in possible random variables:
> indiv id: 70
> year2: 5
> indcova: 5
>
> A total of 6 individuals have only single transitions.
>
>
> Reproductive status:
>
> Data subset has 61 variables and 288 transitions.
>
> Variable repstatus3 has 0 missing values.
> Variable repstatus3 is a binomial variable.
>
> Numbers of categories in data subset in possible random variables:
> indiv id: 70
> year2: 5
> indcova: 5
>
> A total of 6 individuals have only single transitions.
>
>
> Fecundity:
>
> Data subset has 61 variables and 118 transitions.
>
> Variable feca2 has 0 missing values.
> Variable feca2 appears to be an integer variable.
>
> Variable feca2 is fully non-negative.
>
> Overdispersion test:
> Mean feca2 is 0.7881
> The variance in feca2 is 1.536
> The probability of this dispersion level by chance assuming that
> the true mean feca2 = variance in feca2,
> and an alternative hypothesis of overdispersion, is 0.1193
> Dispersion level in feca2 matches expectation.
>
> Zero-inflation and truncation tests:
> Mean lambda in feca2 is 0.4547
> The actual number of 0s in feca2 is 68
> The expected number of 0s in feca2 under the null hypothesis is 53.65
> The probability of this deviation in 0s from expectation by chance is 5.904e-06
> Variable feca2 is significantly zero-inflated.
>
> Numbers of categories in data subset in possible random variables:
> indiv id: 51
> year2: 5
> indcova: 5
>
> A total of 21 individuals have only single transitions.
The results show that size is significantly overdispersed. This means that we cannot use the Poisson distribution, and should instead use the negative binomial distribution. The lack of zeroes in size when zeroes are clearly expected also implies the use of a zero-truncated distribution. Fecundity is not significantly overdispersed, but it is significantly zero-inflated, so we will require a zero-inflated Poisson distribution for that vital rate. All other response variables appear to match the expectations of the binomial distribution, and so are fine.
Now we will run function modelsearch()
and find the right parameterizations for our vital rates. We can use either the individual or annual covariate approach to do so. First, let’s try the former, as it provides a more general approach that allows individuals to vary even within years. To achieve this, we need to include indcova = c("indcova3", "indcova2", "indcova1")
and test.indcova = TRUE
in order to make sure that modelsearch()
includes our individual covariate, which reflects total annual precipitation. Including the former argument but not the latter will result in modelsearch()
ignoring the individual covariate. If this covariate was categorical and random, then we would also need to stipulate random.indcova = TRUE
(our individual covariate is actually quantitative and numerical, so we will use the default setting of FALSE
, instead). To prevent this function from taking too long to run, we will drop the patch term, set suite = "main"
to prevent the inclusion of interaction terms, and run only an ahistorical set.
cypmodels2_env1 <- modelsearch(cypfb_env, historical = FALSE, approach = "mixed",
vitalrates = c("surv", "obs", "size", "repst", "fec"), sizedist = "negbin",
size.trunc = TRUE, fecdist = "poisson", fec.zero = TRUE, suite = "main",
size = c("size3added", "size2added", "size1added"), test.indcova = TRUE,
indcova = c("indcova3", "indcova2", "indcova1"), quiet = "partial")
Let’s see the model summaries.
summary(cypmodels2_env1)
> This LefkoMod object includes 5 linear models.
> Best-fit model criterion used: aicc&k
>
>
>
> Survival model:
> Generalized linear mixed model fit by maximum likelihood (Laplace
> Approximation) [glmerMod]
> Family: binomial ( logit )
> Formula: alive3 ~ indcova2 + (1 | year2) + (1 | individ)
> Data: surv.data
> AIC BIC logLik deviance df.resid
> 102.9757 118.0490 -47.4878 94.9757 316
> Random effects:
> Groups Name Std.Dev.
> individ (Intercept) 1197.97
> year2 (Intercept) 89.74
> Number of obs: 320, groups: individ, 74; year2, 5
> Fixed Effects:
> (Intercept) indcova2
> 271.32 -2.19
> optimizer (Nelder_Mead) convergence code: 0 (OK) ; 0 optimizer warnings; 2 lme4 warnings
>
>
>
> Observation model:
> Generalized linear mixed model fit by maximum likelihood (Laplace
> Approximation) [glmerMod]
> Family: binomial ( logit )
> Formula: obsstatus3 ~ size2added + (1 | year2) + (1 | individ)
> Data: obs.data
> AIC BIC logLik deviance df.resid
> 118.2567 133.1117 -55.1284 110.2567 299
> Random effects:
> Groups Name Std.Dev.
> individ (Intercept) 1.078e-05
> year2 (Intercept) 8.776e-01
> Number of obs: 303, groups: individ, 70; year2, 5
> Fixed Effects:
> (Intercept) size2added
> 2.4904 0.3134
> optimizer (Nelder_Mead) convergence code: 0 (OK) ; 0 optimizer warnings; 1 lme4 warnings
>
>
>
> Size model:
> Formula: size3added ~ (1 | year2) + (1 | individ)
> Data: size.data
> AIC BIC logLik df.resid
> 1008.2666 1022.9184 -500.1333 284
> Random-effects (co)variances:
>
> Conditional model:
> Groups Name Std.Dev.
> year2 (Intercept) 0.1109
> individ (Intercept) 1.0561
>
> Number of obs: 288 / Conditional model: year2, 5; individ, 70
>
> Dispersion parameter for truncated_nbinom2 family (): 9.34e+09
>
> Fixed Effects:
>
> Conditional model:
> (Intercept)
> 0.5761
>
>
>
> Secondary size model:
> [1] 1
>
>
>
> Tertiary size model:
> [1] 1
>
>
>
> Reproductive status model:
> Generalized linear mixed model fit by maximum likelihood (Laplace
> Approximation) [glmerMod]
> Family: binomial ( logit )
> Formula: repstatus3 ~ indcova2 + repstatus2 + size2added + (1 | year2) +
> (1 | individ)
> Data: repst.data
> AIC BIC logLik deviance df.resid
> 330.0418 352.0196 -159.0209 318.0418 282
> Random effects:
> Groups Name Std.Dev.
> individ (Intercept) 0.0002695
> year2 (Intercept) 0.2479120
> Number of obs: 288, groups: individ, 70; year2, 5
> Fixed Effects:
> (Intercept) indcova2 repstatus2 size2added
> -4.23766 0.02954 1.71091 0.17187
>
>
>
> Fecundity model:
> Formula: feca2 ~ indcova2 + size2added + (1 | year2) + (1 | individ)
> Zero inflation: ~size2added + (1 | year2) + (1 | individ)
> Data: fec.data
> AIC BIC logLik df.resid
> 245.4867 270.4229 -113.7434 109
> Random-effects (co)variances:
>
> Conditional model:
> Groups Name Std.Dev.
> year2 (Intercept) 0.2517
> individ (Intercept) 0.1927
>
> Zero-inflation model:
> Groups Name Std.Dev.
> year2 (Intercept) 2.072e-04
> individ (Intercept) 3.951e-08
>
> Number of obs: 118 / Conditional model: year2, 5; individ, 51 / Zero-inflation model: year2, 5; individ, 51
>
> Fixed Effects:
>
> Conditional model:
> (Intercept) indcova2 size2added
> 1.68997 -0.02397 0.06174
>
> Zero-inflation model:
> (Intercept) size2added
> 3.927 -1.618
>
>
> Juvenile survival model:
> [1] 1
>
>
>
> Juvenile observation model:
> [1] 1
>
>
>
> Juvenile size model:
> [1] 1
>
>
>
> Juvenile secondary size model:
> [1] 1
>
>
>
> Juvenile tertiary size model:
> [1] 1
>
>
>
> Juvenile reproduction model:
> [1] 1
>
>
>
> Juvenile maturity model:
> [1] 1
>
>
>
>
>
> Number of models in survival table: 7
>
> Number of models in observation table: 8
>
> Number of models in size table: 8
>
> Number of models in secondary size table: 1
>
> Number of models in tertiary size table: 1
>
> Number of models in reproduction status table: 8
>
> Number of models in fecundity table: 64
>
> Number of models in juvenile survival table: 1
>
> Number of models in juvenile observation table: 1
>
> Number of models in juvenile size table: 1
>
> Number of models in juvenile secondary size table: 1
>
> Number of models in juvenile tertiary size table: 1
>
> Number of models in juvenile reproduction table: 1
>
> Number of models in juvenile maturity table: 1
>
>
>
>
>
> General model parameter names (column 1), and
> specific names used in these models (column 2):
> parameter_names mainparams
> 1 time t year2
> 2 individual individ
> 3 patch patch
> 4 alive in time t+1 surv3
> 5 observed in time t+1 obs3
> 6 sizea in time t+1 size3
> 7 sizeb in time t+1 sizeb3
> 8 sizec in time t+1 sizec3
> 9 reproductive status in time t+1 repst3
> 10 fecundity in time t+1 fec3
> 11 fecundity in time t fec2
> 12 sizea in time t size2
> 13 sizea in time t-1 size1
> 14 sizeb in time t sizeb2
> 15 sizeb in time t-1 sizeb1
> 16 sizec in time t sizec2
> 17 sizec in time t-1 sizec1
> 18 reproductive status in time t repst2
> 19 reproductive status in time t-1 repst1
> 20 maturity status in time t+1 matst3
> 21 maturity status in time t matst2
> 22 age in time t age
> 23 density in time t density
> 24 individual covariate a in time t indcova2
> 25 individual covariate a in time t-1 indcova1
> 26 individual covariate b in time t indcovb2
> 27 individual covariate b in time t-1 indcovb1
> 28 individual covariate c in time t indcovc2
> 29 individual covariate c in time t-1 indcovc1
> 30 stage group in time t group2
> 31 stage group in time t-1 group1
> 32 annual covariate a in time t annucova2
> 33 annual covariate a in time t-1 annucova1
> 34 annual covariate b in time t annucovb2
> 35 annual covariate b in time t-1 annucovb1
> 36 annual covariate c in time t annucovc2
> 37 annual covariate c in time t-1 annucovc1
>
>
>
>
>
> Quality control:
>
> Survival model estimated with 74 individuals and 320 individual transitions.
> Survival model accuracy is 1.
> Observation status model estimated with 70 individuals and 303 individual transitions.
> Observation status model accuracy is 0.95.
> Primary size model estimated with 70 individuals and 288 individual transitions.
> Primary size model R-squared is 0.822.
> Secondary size model not estimated.
> Tertiary size model not estimated.
> Reproductive status model estimated with 70 individuals and 288 individual transitions.
> Reproductive status model accuracy is 0.719.
> Fecundity model estimated with 51 individuals and 118 individual transitions.
> Fecundity model R-squared is 0.524.
> Juvenile survival model not estimated.
> Juvenile observation status model not estimated.
> Juvenile primary size model not estimated.
> Juvenile secondary size model not estimated.
> Juvenile tertiary size model not estimated.
> Juvenile reproductive status model not estimated.
> Juvenile maturity status model not estimated.
Total annual precipitation is a factor in the best-fit models of survival, reproductive status, and fecundity, suggesting that it is quite important to the demography of the population. The accuracy scores of our survival, observation status, and size models are really excellent, while the other models have poor to reasonable accuracy or R2.
To illustrate the differences in set-up when using annual covariates, let’s try the same exercise as before but using the annucov
series of arguments rather than the indcov
series of argument. Let’s try modelsearch()
first, using the dataset without any environmental covariates added Instead, we will enter a vector of precipitation values.
annual_precip <- c(92.2, 57.6, 96.0, 109.8, 111.9)
cypmodels2_anna1 <- modelsearch(cypfb_env, historical = FALSE, approach = "mixed",
vitalrates = c("surv", "obs", "size", "repst", "fec"), sizedist = "negbin",
size.trunc = TRUE, fecdist = "poisson", fec.zero = TRUE, suite = "main",
size = c("size3added", "size2added", "size1added"), test.annucova = TRUE,
annucova = annual_precip, quiet = "partial")
Let’s see the model summaries.
summary(cypmodels2_anna1)
> This LefkoMod object includes 5 linear models.
> Best-fit model criterion used: aicc&k
>
>
>
> Survival model:
> Generalized linear mixed model fit by maximum likelihood (Laplace
> Approximation) [glmerMod]
> Family: binomial ( logit )
> Formula: alive3 ~ annucova2 + (1 | year2) + (1 | individ)
> Data: surv.data
> AIC BIC logLik deviance df.resid
> 102.9757 118.0490 -47.4878 94.9757 316
> Random effects:
> Groups Name Std.Dev.
> individ (Intercept) 1197.97
> year2 (Intercept) 89.74
> Number of obs: 320, groups: individ, 74; year2, 5
> Fixed Effects:
> (Intercept) annucova2
> 271.32 -2.19
> optimizer (Nelder_Mead) convergence code: 0 (OK) ; 0 optimizer warnings; 2 lme4 warnings
>
>
>
> Observation model:
> Generalized linear mixed model fit by maximum likelihood (Laplace
> Approximation) [glmerMod]
> Family: binomial ( logit )
> Formula: obsstatus3 ~ size2added + (1 | year2) + (1 | individ)
> Data: obs.data
> AIC BIC logLik deviance df.resid
> 118.2567 133.1117 -55.1284 110.2567 299
> Random effects:
> Groups Name Std.Dev.
> individ (Intercept) 1.078e-05
> year2 (Intercept) 8.776e-01
> Number of obs: 303, groups: individ, 70; year2, 5
> Fixed Effects:
> (Intercept) size2added
> 2.4904 0.3134
> optimizer (Nelder_Mead) convergence code: 0 (OK) ; 0 optimizer warnings; 1 lme4 warnings
>
>
>
> Size model:
> Formula: size3added ~ (1 | year2) + (1 | individ)
> Data: size.data
> AIC BIC logLik df.resid
> 1008.2666 1022.9184 -500.1333 284
> Random-effects (co)variances:
>
> Conditional model:
> Groups Name Std.Dev.
> year2 (Intercept) 0.1109
> individ (Intercept) 1.0561
>
> Number of obs: 288 / Conditional model: year2, 5; individ, 70
>
> Dispersion parameter for truncated_nbinom2 family (): 9.34e+09
>
> Fixed Effects:
>
> Conditional model:
> (Intercept)
> 0.5761
>
>
>
> Secondary size model:
> [1] 1
>
>
>
> Tertiary size model:
> [1] 1
>
>
>
> Reproductive status model:
> Generalized linear mixed model fit by maximum likelihood (Laplace
> Approximation) [glmerMod]
> Family: binomial ( logit )
> Formula: repstatus3 ~ annucova2 + repstatus2 + size2added + (1 | year2) +
> (1 | individ)
> Data: repst.data
> AIC BIC logLik deviance df.resid
> 330.0418 352.0196 -159.0209 318.0418 282
> Random effects:
> Groups Name Std.Dev.
> individ (Intercept) 0.0002695
> year2 (Intercept) 0.2479120
> Number of obs: 288, groups: individ, 70; year2, 5
> Fixed Effects:
> (Intercept) annucova2 repstatus2 size2added
> -4.23766 0.02954 1.71091 0.17187
>
>
>
> Fecundity model:
> Formula: feca2 ~ annucova2 + size2added + (1 | year2) + (1 | individ)
> Zero inflation: ~size2added + (1 | year2) + (1 | individ)
> Data: fec.data
> AIC BIC logLik df.resid
> 245.4867 270.4229 -113.7434 109
> Random-effects (co)variances:
>
> Conditional model:
> Groups Name Std.Dev.
> year2 (Intercept) 0.2517
> individ (Intercept) 0.1927
>
> Zero-inflation model:
> Groups Name Std.Dev.
> year2 (Intercept) 2.072e-04
> individ (Intercept) 3.951e-08
>
> Number of obs: 118 / Conditional model: year2, 5; individ, 51 / Zero-inflation model: year2, 5; individ, 51
>
> Fixed Effects:
>
> Conditional model:
> (Intercept) annucova2 size2added
> 1.68997 -0.02397 0.06174
>
> Zero-inflation model:
> (Intercept) size2added
> 3.927 -1.618
>
>
> Juvenile survival model:
> [1] 1
>
>
>
> Juvenile observation model:
> [1] 1
>
>
>
> Juvenile size model:
> [1] 1
>
>
>
> Juvenile secondary size model:
> [1] 1
>
>
>
> Juvenile tertiary size model:
> [1] 1
>
>
>
> Juvenile reproduction model:
> [1] 1
>
>
>
> Juvenile maturity model:
> [1] 1
>
>
>
>
>
> Number of models in survival table: 7
>
> Number of models in observation table: 8
>
> Number of models in size table: 8
>
> Number of models in secondary size table: 1
>
> Number of models in tertiary size table: 1
>
> Number of models in reproduction status table: 8
>
> Number of models in fecundity table: 64
>
> Number of models in juvenile survival table: 1
>
> Number of models in juvenile observation table: 1
>
> Number of models in juvenile size table: 1
>
> Number of models in juvenile secondary size table: 1
>
> Number of models in juvenile tertiary size table: 1
>
> Number of models in juvenile reproduction table: 1
>
> Number of models in juvenile maturity table: 1
>
>
>
>
>
> General model parameter names (column 1), and
> specific names used in these models (column 2):
> parameter_names mainparams
> 1 time t year2
> 2 individual individ
> 3 patch patch
> 4 alive in time t+1 surv3
> 5 observed in time t+1 obs3
> 6 sizea in time t+1 size3
> 7 sizeb in time t+1 sizeb3
> 8 sizec in time t+1 sizec3
> 9 reproductive status in time t+1 repst3
> 10 fecundity in time t+1 fec3
> 11 fecundity in time t fec2
> 12 sizea in time t size2
> 13 sizea in time t-1 size1
> 14 sizeb in time t sizeb2
> 15 sizeb in time t-1 sizeb1
> 16 sizec in time t sizec2
> 17 sizec in time t-1 sizec1
> 18 reproductive status in time t repst2
> 19 reproductive status in time t-1 repst1
> 20 maturity status in time t+1 matst3
> 21 maturity status in time t matst2
> 22 age in time t age
> 23 density in time t density
> 24 individual covariate a in time t indcova2
> 25 individual covariate a in time t-1 indcova1
> 26 individual covariate b in time t indcovb2
> 27 individual covariate b in time t-1 indcovb1
> 28 individual covariate c in time t indcovc2
> 29 individual covariate c in time t-1 indcovc1
> 30 stage group in time t group2
> 31 stage group in time t-1 group1
> 32 annual covariate a in time t annucova2
> 33 annual covariate a in time t-1 annucova1
> 34 annual covariate b in time t annucovb2
> 35 annual covariate b in time t-1 annucovb1
> 36 annual covariate c in time t annucovc2
> 37 annual covariate c in time t-1 annucovc1
>
>
>
>
>
> Quality control:
>
> Survival model estimated with 74 individuals and 320 individual transitions.
> Survival model accuracy is 1.
> Observation status model estimated with 70 individuals and 303 individual transitions.
> Observation status model accuracy is 0.95.
> Primary size model estimated with 70 individuals and 288 individual transitions.
> Primary size model R-squared is 0.822.
> Secondary size model not estimated.
> Tertiary size model not estimated.
> Reproductive status model estimated with 70 individuals and 288 individual transitions.
> Reproductive status model accuracy is 0.719.
> Fecundity model estimated with 51 individuals and 118 individual transitions.
> Fecundity model R-squared is 0.524.
> Juvenile survival model not estimated.
> Juvenile observation status model not estimated.
> Juvenile primary size model not estimated.
> Juvenile secondary size model not estimated.
> Juvenile tertiary size model not estimated.
> Juvenile reproductive status model not estimated.
> Juvenile maturity status model not estimated.
We have the exact same models as in the individual covariate case, only using the variable name annucova
instead of indcova
.
Now that we have developed our vital rate models, let’s also build vectors showing our expectation for shifts in the precipitation over the next 20 years from the year that data collection stopped. This 20 year period will be our main time window of interest for projection. Our climate values will be real predictions from Shefferson et al. (2017), which were extracted from a climate forecast model maintained by Japan’s National Meteorological Research Institute. We will use the values predicted for 2010 to 2030. Just out of interest, we will also create a vector of predicted values for 2070 to 2090.
pred_vals_2010to30 <- c(110.8152136, 98.87159542, 127.0623005, 110.0501797,
82.03005742, 103.6893125, 104.2549713, 97.86989854, 111.25054, 116.4481035,
125.9652504, 98.89823738, 105.7075192, 135.7032496, 149.6705465, 149.0110188,
115.3965537, 119.7017105, 99.5415225, 111.7898123, 90.51828146)
pred_vals_2070to90 <- c(101.7828506, 80.70954521, 106.760383, 142.3355673,
113.6519693, 122.3257958, 100.8745268, 138.814026, 111.1349475, 92.00440938,
120.2391638, 115.6253448, 102.6373673, 125.3819469, 98.25464504, 102.4367633,
118.6401779, 125.6021119, 101.9117747, 127.2149739, 109.244138)
Let’s see what these values look like graphically (figure 8.3).
plot(x = c(1:21), y = pred_vals_2010to30, type = "l", lty = 1, lwd = 3,
ylab = "Annual precip (cm)", xlab = "Projected year", ylim = c(80, 170),
bty = "n")
lines(x = c(1:21), y = pred_vals_2070to90, lty = 2, lwd = 3)
legend("topright", c("2010-2030", "2070-2090"), lty = c(1, 2), lwd = 3,
bty = "n")

Figure 8.3: Predicted annual precipitation for Cypripedium candidum
Now let’s move on to conducting our projection analyses.
8.2 Simple projections of already developed matrices for a specific time length
One of the most common forms of projection analysis involves projecting an arithmetic mean matrix deterministically. Perhaps we wish to project the mean forward by ten time steps simply to see the short-term predicted trend, or perhaps we wish to project many thousands of time steps in order to see the asymptotic properties of the matrix. Let’s start off by building arithmetic mean matrices for the ahistorical and historical population-level MPMs.
cypmean2 <- lmean(cypmatrix2r)
cypmean3 <- lmean(cypmatrix3r)
summary(cypmean2)
>
> This ahistorical lefkoMat object contains 1 matrix.
>
> Each matrix is square with 11 rows and columns, and a total of 121 elements.
> A total of 33 survival transitions were estimated, with 33 per matrix.
> A total of 10 fecundity transitions were estimated, with 10 per matrix.
> This lefkoMat object covers 1 population, 1 patch, and 0 time steps.
>
> The dataset contains a total of 74 unique individuals and 320 unique transitions.
>
> Survival probability sum check (each matrix represented by column in order):
> [,1]
> Min. 0.050
> 1st Qu. 0.140
> Median 0.800
> Mean 0.593
> 3rd Qu. 0.921
> Max. 1.000
summary(cypmean3)
>
> This historical lefkoMat object contains 1 matrix.
>
> Each matrix is square with 121 rows and columns, and a total of 14641 elements.
> A total of 99 survival transitions were estimated, with 99 per matrix.
> A total of 28 fecundity transitions were estimated, with 28 per matrix.
> This lefkoMat object covers 1 population, 1 patch, and 0 time steps.
>
> The dataset contains a total of 74 unique individuals and 320 unique transitions.
>
> Survival probability sum check (each matrix represented by column in order):
> [,1]
> Min. 0.000
> 1st Qu. 0.000
> Median 0.000
> Mean 0.179
> 3rd Qu. 0.200
> Max. 1.000
Now let’s project these two mean matrices forward. Since these are only single matrices, we do not need to indicate any specific year or patch to project. We will instruct R
to project the ahistorical mean ten time steps forward. Then, we will take a look at the resulting object.
cypproj2 <- projection3(cypmean2, times = 10)
> Warning: This lefkoMat object appears to be a set of mean matrices. Will
> project only the mean.
cypproj2
> $projection
> $projection[[1]]
> $projection[[1]][[1]]
> [,1] [,2] [,3] [,4] [,5] [,6]
> [1,] 1 1.025278e+04 8976.9428602 7579.2162919 6559.5257069 5791.2902872
> [2,] 1 1.025280e+04 9181.9984786 7758.7551491 6711.1100327 5922.4808013
> [3,] 1 1.000000e-01 1025.2800919 918.1998479 775.8755149 671.1110033
> [4,] 1 1.000000e-01 0.0100000 102.5280092 91.8199848 77.5875515
> [5,] 1 1.000000e-01 0.0100000 0.0010000 5.1264505 4.8473218
> [6,] 1 2.326441e-01 0.2158192 0.2037291 0.1945073 0.4237303
> [7,] 1 1.496794e+00 1.3301888 1.2290474 1.1663551 2.9546675
> [8,] 1 1.804320e+00 1.8827350 1.8582091 1.7999057 2.7390456
> [9,] 1 8.390066e-01 0.8995651 0.9136912 0.8912658 0.8505446
> [10,] 1 1.075116e+00 0.9570211 0.8349439 0.7303300 0.6449596
> [11,] 1 5.952381e-01 0.4000111 0.2911504 0.2250937 0.1821021
> [,7] [,8] [,9] [,10] [,11]
> [1,] 5777.0586419 6330.3074391 7144.4860609 8023.4195510 8864.9356819
> [2,] 5892.8844477 6445.8486120 7271.0922097 8166.3092722 9025.4040729
> [3,] 592.2480801 589.2884448 644.5848612 727.1092210 816.6309272
> [4,] 67.1111003 59.2248080 58.9288445 64.4584861 72.7109221
> [5,] 4.1217437 3.5616422 3.1393225 3.1034083 3.3780947
> [6,] 0.5946490 0.6972683 0.7576925 0.7932213 0.8270709
> [7,] 4.0352491 4.6021723 4.9080956 5.0742834 5.2639516
> [8,] 3.7343588 4.5180195 5.0926985 5.5058964 5.8572084
> [9,] 0.9816220 1.2047260 1.4431232 1.6600921 1.8434275
> [10,] 0.6345045 0.6788768 0.7530879 0.8390462 0.9253580
> [11,] 0.1524758 0.1366669 0.1329884 0.1382168 0.1490176
>
>
>
> $stage_dist
> $stage_dist[[1]]
> [1] 0
>
>
> $rep_value
> $rep_value[[1]]
> [1] 0
>
>
> $pop_size
> $pop_size[[1]]
> [,1] [,2] [,3] [,4] [,5] [,6] [,7] [,8]
> [1,] 11 20511.92 19189.93 16364.03 14148.47 12475.11 12343.56 13440.07
> [,9] [,10] [,11]
> [1,] 15135.32 16998.41 18797.93
>
>
> $labels
> pop patch
> 1 1 1
>
> $ahstages
> stage_id stage original_size original_size_b original_size_c min_age max_age
> 1 1 SD 0.0 NA NA 0 NA
> 2 2 P1 0.0 NA NA 0 NA
> 3 3 P2 0.0 NA NA 0 NA
> 4 4 P3 0.0 NA NA 0 NA
> 5 5 SL 0.0 NA NA 0 NA
> 6 6 D 0.0 NA NA 0 NA
> 7 7 XSm 1.0 NA NA 0 NA
> 8 8 Sm 3.0 NA NA 0 NA
> 9 9 Md 6.0 NA NA 0 NA
> 10 10 Lg 11.0 NA NA 0 NA
> 11 11 XLg 19.5 NA NA 0 NA
> repstatus obsstatus propstatus immstatus matstatus entrystage indataset
> 1 0 0 1 0 0 1 0
> 2 0 0 0 1 0 1 0
> 3 0 0 0 1 0 0 0
> 4 0 0 0 1 0 0 0
> 5 0 0 0 1 0 0 0
> 6 0 0 0 0 1 0 1
> 7 1 1 0 0 1 0 1
> 8 1 1 0 0 1 0 1
> 9 1 1 0 0 1 0 1
> 10 1 1 0 0 1 0 1
> 11 1 1 0 0 1 0 1
> binhalfwidth_raw sizebin_min sizebin_max sizebin_center sizebin_width
> 1 0.0 0.0 0.0 0.0 0
> 2 0.0 0.0 0.0 0.0 0
> 3 0.0 0.0 0.0 0.0 0
> 4 0.0 0.0 0.0 0.0 0
> 5 0.0 0.0 0.0 0.0 0
> 6 0.5 -0.5 0.5 0.0 1
> 7 0.5 0.5 1.5 1.0 1
> 8 1.5 1.5 4.5 3.0 3
> 9 1.5 4.5 7.5 6.0 3
> 10 3.5 7.5 14.5 11.0 7
> 11 5.0 14.5 24.5 19.5 10
> binhalfwidthb_raw sizebinb_min sizebinb_max sizebinb_center sizebinb_width
> 1 NA NA NA NA NA
> 2 NA NA NA NA NA
> 3 NA NA NA NA NA
> 4 NA NA NA NA NA
> 5 NA NA NA NA NA
> 6 NA NA NA NA NA
> 7 NA NA NA NA NA
> 8 NA NA NA NA NA
> 9 NA NA NA NA NA
> 10 NA NA NA NA NA
> 11 NA NA NA NA NA
> binhalfwidthc_raw sizebinc_min sizebinc_max sizebinc_center sizebinc_width
> 1 NA NA NA NA NA
> 2 NA NA NA NA NA
> 3 NA NA NA NA NA
> 4 NA NA NA NA NA
> 5 NA NA NA NA NA
> 6 NA NA NA NA NA
> 7 NA NA NA NA NA
> 8 NA NA NA NA NA
> 9 NA NA NA NA NA
> 10 NA NA NA NA NA
> 11 NA NA NA NA NA
> group comments alive almostborn
> 1 0 Dormant seed 1 0
> 2 0 1st yr protocorm 1 0
> 3 0 2nd yr protocorm 1 0
> 4 0 3rd yr protocorm 1 0
> 5 0 Seedling 1 0
> 6 0 Dormant adult 1 0
> 7 0 Extra small adult (1 shoot) 1 0
> 8 0 Small adult (2-4 shoots) 1 0
> 9 0 Medium adult (5-7 shoots) 1 0
> 10 0 Large adult (8-14 shoots) 1 0
> 11 0 Extra large adult (>14 shoots) 1 0
>
> $hstages
> X1
> 1 NA
>
> $agestages
> X1
> 1 NA
>
> $control
> [1] 1 10
>
> attr(,"class")
> [1] "lefkoProj"
Here we can see the structure of the resulting object, which is of class lefkoProj
. Its elements include:
- projection - A list with two levels. The top-level elements correspond to the patches or population-patch combinations in the input
lefkoMat
object, with as many elements as there are population-patch combinations (equivalent to the numbers of rows in thelabels
object). Each of these top-level elements is also a list with number of elements equal to the number of replicates (optionnreps
, which defaults to 1). Each element of this lower-level list is a matrix with rows corresponding to the MPM stages (if ahistorical; paired stages if historical; ages if Leslie; and age-stages if age-by-stage), and columns corresponding to the projected times (total number of columns equal to the number of time steps plus 1, with the first time referred to as time 0). The elements of the matrix show the projected number of individuals in the stages, ages, age-stages, or historical stage-pairs in that time. - stage_dist - A list showing the stage distribution projected per time, with the same order and structure as projection. Only estimated if
growthonly = FALSE
. - rep_value - A list showing the reproductive value of each stage projected per time, with the same order and structure as projection. Only estimated if
growthonly = FALSE
. - pop_size - A list with number of elements equal to the number of projected patches or population-patches. Each element of this list is a matrix showing the total population size at each time (column) per replicate (row).
- labels - A data frame giving the population, patch, and year of each matrix in the
lefkoMat
object used as input, in order. - ahstages - The stageframe used in analysis, though modified and edited according to MPM creation conventions.
- hstages - A data frame matrix showing the pairing of ahistorical stages used to create historical stage pairs (only if historical).
- agestages - A data frame showing the order of age-stage pairs (only if age-by-stage).
- control - An integer vector indicating the number of replicates and the number of time steps.
- density - The data frame input under the density option. Only provided if input by the user.
Let’s also conduct a historical projection, and then compare summaries.
cypproj3 <- projection3(cypmean3, times = 10)
> Warning: This lefkoMat object appears to be a set of mean matrices. Will
> project only the mean.
summary(cypproj2)
>
> The input lefkoProj object covers 1 population-patches.
> It is a single projection including 10 projected steps per replicate, and 1 replicates, respectively.
> The number of replicates with population size above the threshold size of 1 is as in
> the following matrix, with pop-patches given by column and milepost times given by row:
> $milepost_sums
> 1 1
> 0 1
> 0.25 1
> 0.5 1
> 0.75 1
> 1 1
>
> $extinction_times
> [1] NA
summary(cypproj3)
>
> The input lefkoProj object covers 1 population-patches.
> It is a single projection including 10 projected steps per replicate, and 1 replicates, respectively.
> The number of replicates with population size above the threshold size of 1 is as in
> the following matrix, with pop-patches given by column and milepost times given by row:
> $milepost_sums
> 1 1
> 0 1
> 0.25 1
> 0.5 1
> 0.75 1
> 1 1
>
> $extinction_times
> [1] NA
The summary()
calls give us a reasonable amount of information, showing the number of population-patches, projected time steps and number of replicates. We also see how many replicates still have population sizes above 1.0 at 0%, 25%, 50%, 75%, and 100% of the way through the projection. A number of options exist for summary()
calls with projection3()
and f_projection3()
, and we encourage the user to explore upon reading the help pages for function summary.lefkoProj
.
Let’s also plot the projections for comparison (figure 8.4).
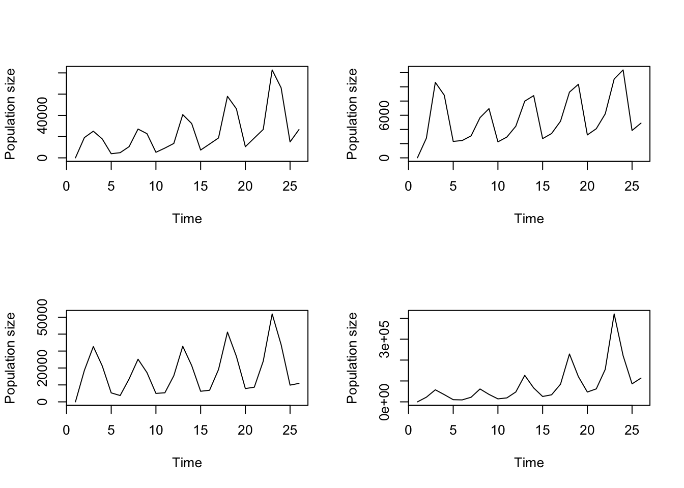
par(mfrow=c(1,2))
plot(cypproj2)
title("a)", adj = 0)
plot(cypproj3, ylab = "")
title("b)", adj = 0)

Figure 8.4: Ahistorical (a) vs. historical (b) deterministic projection
These are fascinating results suggesting that accounting for history influences reduces the population dynamics fairly dramatically.
A close look at the population sizes projected at each time shows that decimal values are allowed. Naturally, partial individuals cannot exist in a population. Although the default in lefko3
is to project fractional individuals, we may change the settings to allow only integer values. Doing so results in the projected number of individuals rounding down to the nearest non-negative integer in each time step. We can set this with the integeronly
option, as below (figure 8.5).
cypproj3i <- projection3(cypmean3, times = 10, integeronly = TRUE)
> Warning: This lefkoMat object appears to be a set of mean matrices. Will
> project only the mean.
plot(cypproj3i)

Figure 8.5: Historical projection allowing integer population size only
We will not set integeronly = TRUE
in the rest of this chapter, mostly because we are interested predominantly in the overall patterns of population dynamics, and forcing the projection of whole individuals makes extinction more and more likely with smaller population sizes. However, users working with small populations, interested in absolute population numbers, wishing to assess the impacts of individual fate, or exploring the impacts of demographic stochasticity should use this setting.
8.2.1 Setting the start vector
Let’s look at another setting of both functions projection3()
and f_projection3()
: the start vector. By default, functions projection3()
and f_projection3()
assume an initial starting vector of one individual in each stage, age (if Leslie), stage pair (if historical), or age-stage (if age-by-stage). We can see this by taking a look at the first column of the core ahistorical projection.
We see above that we started with one individual of each stage. But what if we wished to use a different start vector, for example because we wish to predict future population dynamics on the basis of the stage structure observed currently? In that circumstance, we have two options. The first is to use the start_vec
option to load a vector of starting numbers of each stage, stage pair, or age-stage. Here is an example in which we start with 1000 seeds and 100 first-year protocorms, and no individuals of any other stage.
cypproj2_1000 <- projection3(cypmean2, times = 10,
start_vec = c(1000, 100, 0, 0, 0, 0, 0, 0, 0, 0, 0))
> Warning: This lefkoMat object appears to be a set of mean matrices. Will
> project only the mean.
plot(cypproj2_1000)
The start_vec
approach is very useful, but it requires a vector as long as the number of rows in the projection matrix. This can make it very difficult to create the right start vector for a historical matrix, an age-by-stage matrix, or an IPM. For the latter situations, we can use the start_input()
function together with the start_frame
option. We use start_input()
to create a lefkoSV
object, which is a data frame that contains everything we need to know for the start vector. Let’s see this approach in action, starting the population with 1000 3rd year protocorms and 100 dormant adults.
c2m_sv <- start_input(cypmean2, stage2 = c("P3", "D"), value = c(1000, 100))
c2m_sv
> stage2 stage_id_2 stage1 stage_id_1 age2 row_num value
> 1 P3 4 NA NA NA 4 1000
> 2 D 6 NA NA NA 6 100
In the code above, we told R
that we wished to start with 1000 3rdyear protocorms and 100 dormant adults. By not stating any further information, we implied zero individuals for all other stages. The result is this start frame, which is a data frame showing the stages with non-zero starting individuals.
Now that we have our start frame, let’s use it in a projection.
cypproj2_s1000 <- projection3(cypmean2, times = 10, start_frame = c2m_sv)
> Warning: This lefkoMat object appears to be a set of mean matrices. Will
> project only the mean.
plot(cypproj2_s1000)
We can compare these projections via a multi-panel plot (figure 8.6).
par(mfrow = c(1, 3))
plot(cypproj2)
title("a)", adj = 0)
plot(cypproj2_1000, ylab = "")
title("b)", adj = 0)
plot(cypproj2_s1000, ylab = "")
title("c)", adj = 0)

Figure 8.6: Using different start frames in projection. Projections started with (a) 1 of each stage, (b) 1000 dormant seeds and 100 seedlings set via start_vec, and (c) 1000 3rd year protocorms and 100 dormant adults set via start_input
The impact of a different start vector can be quite profound. The leftmost plot shows a population with a single individual of each stage, and so the population is able to grow right away. In contrast, the center and rightmost plots show populations that initially contain no reproductive individuals. In the center plot, it takes a few years for the dormant seeds and 1st year protocorms to mature and the population to start growing. In the rightmost plot, the population starts growing once some of the dormant individuals become reproductive, which takes one or two years.
8.3 Simple projections involving the creation of function-based matrices in each time step
Let’s now switch to function-based projections, which will allow us to create new matrices at each time step using our vital rate models. The first style of function-based projection that we will try is a standard deterministic projection using our individual covariate values. We have two choices - we may either choose a single year to run (our vital rates all include random year terms) with our projected precipitation values, or we may try a specific sequence of years. There are different merits to both approaches. For instructional purposes, let’s start by choosing a single year in the middle of the monitoring - 2007. We also need to format the individual covariate into a three-column data frame with as many rows as we wish to project, and set zero as the default value for unused covariates. Here, we develop our first projection using the 2010 to 2030 predictions. Note that f_projection3()
does not calculate mean matrices, unlike function projection3()
.
ind_frame_1 <- cbind.data.frame(inda = pred_vals_2010to30, indb = 0, indc = 0)
trial2f_1 <- f_projection3(data = cypfb_env, format = 3, stageframe = cypframe_fb,
supplement = cypsupp2_fb, modelsuite = cypmodels2_env1, times = 21,
year = 2007, ind_terms = ind_frame_1)
> Warning: Option patch not set, so will set to first patch/population.
The resulting object is of class lefkoProj
, just as in the case of function projection3()
above. The object includes the same elements as in that case, with the addition of one further element:
- density_vr - The data frame input under the
density_vr
option. This data frame shows density dependence per vital rate model, if such information was provided.
We can view a summary of this object, as follows. Note that the output is structured in the same way as summary()
statement output from lefkoProj
objects developed with function projection3()
.
summary(trial2f_1)
>
> The input lefkoProj object covers 1 population-patches.
> It is a single projection including 21 projected steps per replicate, and 1 replicates, respectively.
> The number of replicates with population size above the threshold size of 1 is as in
> the following matrix, with pop-patches given by column and milepost times given by row:
> $milepost_sums
> 1 1
> 0 1
> 0.25 1
> 0.5 1
> 0.75 1
> 1 1
>
> $extinction_times
> [1] NA
Let’s now also build a projection covering climatic values projected for 2070 to 2090.
ind_frame_2 <- cbind.data.frame(inda = pred_vals_2070to90, indb = 0, indc = 0)
trial2f_2 <- f_projection3(data = cypfb_env, format = 3, stageframe = cypframe_fb,
supplement = cypsupp2_fb, modelsuite = cypmodels2_env1, times = 21,
year = 2007, ind_terms = ind_frame_2)
> Warning: Option patch not set, so will set to first patch/population.
summary(trial2f_2)
>
> The input lefkoProj object covers 1 population-patches.
> It is a single projection including 21 projected steps per replicate, and 1 replicates, respectively.
> The number of replicates with population size above the threshold size of 1 is as in
> the following matrix, with pop-patches given by column and milepost times given by row:
> $milepost_sums
> 1 1
> 0 1
> 0.25 1
> 0.5 0
> 0.75 0
> 1 0
>
> $extinction_times
> [1] NA
Now let’s plot our projections side-by-side (figure 8.7).
par(mfrow=c(1,2))
plot(trial2f_1, xlab = "Time from 2010")
title("a)", adj = 0)
plot(trial2f_2, xlab = "Time from 2070", ylab = "")
title("b)", adj = 0)

Figure 8.7: Simple function-based projections for (a) 2010-2030 and (b) 2070-2090
Clearly our different climate projections have different impacts on population dynamics.
As an alternative to the previous case, let’s see what happens when we use the annual covariate approach to projection. Here, we perform the same projection, but using our annual covariate lefkoMod
object with a slightly restructured data frame of precipitation values.
annu_frame_2 <- cbind.data.frame(annucova = pred_vals_2070to90, annucovb = 0,
annucovc = 0)
trial2f_2_1 <- f_projection3(data = cypfb_env, format = 3, stageframe = cypframe_fb,
supplement = cypsupp2_fb, modelsuite = cypmodels2_anna1, times = 21,
year = 2007, ann_terms = annu_frame_2)
> Warning: Option patch not set, so will set to first patch/population.
summary(trial2f_2_1)
>
> The input lefkoProj object covers 1 population-patches.
> It is a single projection including 21 projected steps per replicate, and 1 replicates, respectively.
> The number of replicates with population size above the threshold size of 1 is as in
> the following matrix, with pop-patches given by column and milepost times given by row:
> $milepost_sums
> 1 1
> 0 1
> 0.25 1
> 0.5 0
> 0.75 0
> 1 0
>
> $extinction_times
> [1] NA
par(mfrow=c(1,2))
plot(trial2f_2, xlab = "Time from 2070")
title("a)", adj = 0)
plot(trial2f_2_1, xlab = "Time from 2070", ylab = "")
title("b)", adj = 0)

Figure 8.8: Simple function-based projections for 2070-2090 using a) individual and b) annual covariate approaches
Everything looks the same, as it should!
8.3.1 Setting the start vector for function-based projection
As before, we can reset the starting numbers of individuals in different stages. Function f_projection3()
assumes one individual per stage at the start by default, similarly to projection3()
. As in projection3()
, we can set the starting vector with the start_vec
and start_frame
options. Here we show an example of the latter, which is the more powerful approach. We will start the population with 1000 dormant seeds and 100 1st year protocorms, using the 2010 to 2030 climate projection (figure 8.9). Note that prior to using this option, we need to create a new MPM in the same format as our projection, as the start_input()
function will need to look at the structure of the matrices and row / column indices to determine the proper vector.
trial_mpm <- flefko2(data = cypfb_env, stageframe = cypframe_fb,
supplement = cypsupp2_fb, modelsuite = cypmodels2_env1, year = 2007)
c2m_sv <- start_input(trial_mpm, stage2 = c("SD", "P1"), value = c(1000, 100))
trial2f_3 <- f_projection3(data = cypfb_env, format = 3, stageframe = cypframe_fb,
supplement = cypsupp2_fb, modelsuite = cypmodels2_env1, times = 21,
year = 2007, ind_terms = ind_frame_1, start_frame = c2m_sv)
> Warning: Option patch not set, so will set to first patch/population.
par(mfrow = c(1, 2))
plot(trial2f_1)
title("a)", adj = 0)
plot(trial2f_3, ylab = "")
title("b)", adj = 0)

Figure 8.9: Simple function-based projections assuming different start frames. (a) Start with one individual of each stage. (b) Start with 1000 dormant seeds and 100 1st year protocorms
In the new projection, we start the population with dormant seeds and 1st year protocorms only, which means that there is no reproduction in the population for the first few years. This causes an immediate drop in population size until some seeds and protocorms start reproducing. Once reproductive individuals enter the population, population size begins increasing, though much more slowly than in the original projection.
8.4 Ordered / cyclical projections
Situations may arise in which we wish to project an MPM with a specific order of matrices in mind. Typically these situations arise when a specific order of annual matrices is meant to correspond to the assumptions of predicted conditions. For example, we might have several years worth of matrices, with some under high rain conditions and other under drought. We may believe due to climate forecasts that the next ten years should be relatively rainy while the ten years after that should be drier, and may wish to project our matrices forward in an order that matches these expectations. Alternatively, we may have a situation in which a hurricane has affected our population, and we wish to project the population forward avoiding matrices in the immediate aftermath of the hurricane, since those matrices likely reflect dramatic changes as the population adjusts to the mass mortality and other issues that might have destabilized population dynamics during the hurricane itself.
8.4.1 Projecting existing matrices
Let’s start with a scenario in which we have created all of the matrices that we will use, and wish to project them in a specific order. Let’s start by forcing the projection to cycle through the matrices for 2007 and 2008 for ten years, and then to cycle between 2004 and 2005 for another ten years (2004 and 2005 were relatively dry years, while 2007 and 2008 were relatively wet years). Our projection will be 20 years in total.
year_order <- c(2007, 2008, 2007, 2008, 2007, 2008, 2007, 2008, 2007, 2008,
2004, 2005, 2004, 2005, 2004, 2005, 2004, 2005, 2004, 2005)
cypproj2_ord1 <- projection3(cypmatrix2r, year = year_order, times = 20,
start_frame = c2m_sv)
summary(cypproj2_ord1)
>
> The input lefkoProj object covers 1 population-patches.
> It is a single projection including 20 projected steps per replicate, and 1 replicates, respectively.
> The number of replicates with population size above the threshold size of 1 is as in
> the following matrix, with pop-patches given by column and milepost times given by row:
> $milepost_sums
> 1 1
> 0 1
> 0.25 1
> 0.5 1
> 0.75 1
> 1 1
>
> $extinction_times
> [1] NA
If we have an MPM with a set of annual matrices, we might wish to project the population forward cyclically through those matrices. If the number of matrices in the lefkoMat
object is shorter than the number of time steps set, then the default behavior of lefko3
’s projection functions is to cycle through the MPMs. For example, if we leave the times
option out from the above projection, then lefko3
will assume the default of 10,000 time steps, and cycle through our 20 defined years over and over, as below.
cypproj2_ord2 <- projection3(cypmatrix2r, year = year_order,
start_frame = c2m_sv)
summary(cypproj2_ord2)
>
> The input lefkoProj object covers 1 population-patches.
> It is a single projection including 10000 projected steps per replicate, and 1 replicates, respectively.
> The number of replicates with population size above the threshold size of 1 is as in
> the following matrix, with pop-patches given by column and milepost times given by row:
> $milepost_sums
> 1 1
> 0 1
> 0.25 1
> 0.5 1
> 0.75 1
> 1 1
>
> $extinction_times
> [1] NA
Let’s see plots of these projections (figure 8.10).
par(mfrow=c(1,2))
plot(cypproj2_ord1)
title("a)", adj = 0)
plot(cypproj2_ord2, ylab = "")
title("b)", adj = 0)

Figure 8.10: Ordered projections can be cyclical. (a) A 20 year ordered projection. (b) A 10,000 year projection cycling through 20 ordered years
Of course, the scale of the y axis differs dramatically between these two plots, because both the time scale and the numbers of individuals attained within the projection time period differ dramatically. The population is generally increasing in both cases, and so reaches much greater numbers in 10,000 time steps than in 20.
If the year
option is not used and stochastic = FALSE
, then the default behavior of this function is to cycle through all matrices in a lefkoMat
object in the order that they occur in the labels
element. Here, we will cycle through all of the matrices in the ahistorical and historical population-level MPMs for 100 time steps each.
cypproj2_c100 <- projection3(cypmatrix2r, times = 100)
cypproj3_c100 <- projection3(cypmatrix3r, times = 100)
summary(cypproj2_c100)
>
> The input lefkoProj object covers 1 population-patches.
> It is a single projection including 100 projected steps per replicate, and 1 replicates, respectively.
> The number of replicates with population size above the threshold size of 1 is as in
> the following matrix, with pop-patches given by column and milepost times given by row:
> $milepost_sums
> 1 1
> 0 1
> 0.25 1
> 0.5 1
> 0.75 1
> 1 1
>
> $extinction_times
> [1] NA
summary(cypproj3_c100)
>
> The input lefkoProj object covers 1 population-patches.
> It is a single projection including 100 projected steps per replicate, and 1 replicates, respectively.
> The number of replicates with population size above the threshold size of 1 is as in
> the following matrix, with pop-patches given by column and milepost times given by row:
> $milepost_sums
> 1 1
> 0 1
> 0.25 1
> 0.5 1
> 0.75 1
> 1 1
>
> $extinction_times
> [1] NA
Now let’s plot the projections for comparison (figure 8.11).
par(mfrow=c(1,2))
plot(cypproj2_c100)
title("a)", adj = 0)
plot(cypproj3_c100, ylab = "")
title("b)", adj = 0)

Figure 8.11: Cyclical ahistorical (a) and historical (b) projections
Here we see through comparison of the scales of the y axes that individual history appears to reduce the growth rate relative to ahistorical projection, although clearly there are years in which the population growth rate appears quite high in both cases. The cyclical nature of the projection is obvious in both plots, as it results in noticeable “saw tooth” oscillations over time.
We might also wish to see what happens across different patches. Let’s try a projection with patch structure, here using cypmatrix3rp
. This MPM contains four matrices each for three patches.
cypproj3p_c100 <- projection3(cypmatrix3rp, times = 100)
summary(cypproj3p_c100)
>
> The input lefkoProj object covers 4 population-patches.
> It is a single projection including 100 projected steps per replicate, and 1 replicates, respectively.
> The number of replicates with population size above the threshold size of 1 is as in
> the following matrix, with pop-patches given by column and milepost times given by row:
> $milepost_sums
> 1 A 1 B 1 C 1 0
> 0 1 1 1 1
> 0.25 1 1 1 1
> 0.5 1 1 1 1
> 0.75 1 1 1 1
> 1 0 1 1 1
>
> $extinction_times
> [1] NA
Function projection3()
has projected the matrix sets from each patch and the patch-weighted population in an ordered cycle for 100 time steps each, with each patch assumed to be independent of every other patch. The summary shows us that patch A goes extinct some time between times 76 and 101. The population-level projection is summarized in the the rightmost column of the milepost_sums
, and shows no extinction. Let’s plot these results.

Figure 8.12: Patch-level projections for patch A (top left), patch B (top right), patch C (bottom left), and the patch-weighted population (bottom right)
The plots above are produced in the order of the labels element in the lefkoProj
object, which we see below. The plots are propagated by row, meaning that patch A is in the top-left, patch B is in the top-right, patch C is in the bottom-left, and the patch-weighted population mean is in the bottom-right, as shown in the labels
element below. These results differ from the population-level projection because the population-level results from a patch-stratified MPM involve averaging the patches equally, whereas a population-level projection weights individual transitions as equal regardless of source patch.
8.4.2 Projecting function-based matrices
The vital rate models developed with modelsearch()
generally include year2
terms denoting time t. These are terms within a categorical variable, and so each year has its own value. If we do not specify a specific year to project, then f_projection3()
will cycle through the years in the dataset in order for the number of time steps set, using the appropriate year2
term in each vital rate model used to estimate each matrix at each time step. Alternatively, if the year
option is set to a vector of years, then these particular years will cycle in order for the number of time steps set. Note, however, that this function only sets the values for the categorical year2
term in the vital rate models - any related terms, such as individual covariates, are unaffected by this.
Let’s take an example using three years in particular: 2006, 2007, and 2008. By choosing these years and loading this choice as a vector in the year
option, we will have lefko3
cycle through them in order. Because our vital rate models also include precipitation, we need to incorporate values for precipitation, and our choices will make a big difference. As in the year
case, f_projection3()
will cycle though whatever values we provide until the projection is finished. These cycles are independent of the year
option cycles, and so care needs to be taken to load only values corresponding to the correct year sequence. Here, we will run three projections using our year
vector of three years. Each one will assume a different precipitation input: the first will be a vector of six precipitation values, the second will be just the first of those values, and the third will be the mean of those six values.
ind_real <- data.frame(inda = c(92.2, 57.6, 96.0, 109.8, 111.9, 106.8),
indb = 0, indc = 0)
short_real <- as.data.frame(ind_real[1,])
mean_real <- data.frame(inda = mean(ind_real$inda), indb = 0, indc = 0)
trial2f_4a <- f_projection3(data = cypfb_env, format = 3, stageframe = cypframe_fb,
supplement = cypsupp2_fb, modelsuite = cypmodels2_env1, times = 101,
year = c(2006, 2007, 2008), ind_terms = ind_real)
> Warning: Option patch not set, so will set to first patch/population.
> Warning: Too few values of individual covariates have been supplied. Some will
> be cycled.
trial2f_4b <- f_projection3(data = cypfb_env, format = 3, stageframe = cypframe_fb,
supplement = cypsupp2_fb, modelsuite = cypmodels2_env1, times = 101,
year = c(2006, 2007, 2008), ind_terms = short_real)
> Warning: Option patch not set, so will set to first patch/population.
> Warning: Too few values of individual covariates have been supplied. Some will
> be cycled.
trial2f_4c <- f_projection3(data = cypfb_env, format = 3, stageframe = cypframe_fb,
supplement = cypsupp2_fb, modelsuite = cypmodels2_env1, times = 101,
year = c(2006, 2007, 2008), ind_terms = mean_real)
> Warning: Option patch not set, so will set to first patch/population.
> Warning: Too few values of individual covariates have been supplied. Some will
> be cycled.
summary(trial2f_4a)
>
> The input lefkoProj object covers 1 population-patches.
> It is a single projection including 101 projected steps per replicate, and 1 replicates, respectively.
> The number of replicates with population size above the threshold size of 1 is as in
> the following matrix, with pop-patches given by column and milepost times given by row:
> $milepost_sums
> 1 1
> 0 1
> 0.25 1
> 0.5 1
> 0.75 1
> 1 1
>
> $extinction_times
> [1] NA
summary(trial2f_4b)
>
> The input lefkoProj object covers 1 population-patches.
> It is a single projection including 101 projected steps per replicate, and 1 replicates, respectively.
> The number of replicates with population size above the threshold size of 1 is as in
> the following matrix, with pop-patches given by column and milepost times given by row:
> $milepost_sums
> 1 1
> 0 1
> 0.25 1
> 0.5 1
> 0.75 1
> 1 1
>
> $extinction_times
> [1] NA
summary(trial2f_4c)
>
> The input lefkoProj object covers 1 population-patches.
> It is a single projection including 101 projected steps per replicate, and 1 replicates, respectively.
> The number of replicates with population size above the threshold size of 1 is as in
> the following matrix, with pop-patches given by column and milepost times given by row:
> $milepost_sums
> 1 1
> 0 1
> 0.25 1
> 0.5 1
> 0.75 1
> 1 1
>
> $extinction_times
> [1] NA
Here is another example using the full set of years instead of a subset, though assuming the same three precipitation vectors as the last runs.
trial2f_5a <- f_projection3(data = cypfb_env, format = 3, stageframe = cypframe_fb,
supplement = cypsupp2_fb, modelsuite = cypmodels2_env1, times = 101,
ind_terms = ind_real)
> Warning: Option year not set, so will cycle through existing years.
> Warning: Option patch not set, so will set to first patch/population.
> Warning: Too few values of individual covariates have been supplied. Some will
> be cycled.
trial2f_5b <- f_projection3(data = cypfb_env, format = 3, stageframe = cypframe_fb,
supplement = cypsupp2_fb, modelsuite = cypmodels2_env1, times = 101,
ind_terms = short_real)
> Warning: Option year not set, so will cycle through existing years.
> Warning: Option patch not set, so will set to first patch/population.
> Warning: Too few values of individual covariates have been supplied. Some will
> be cycled.
trial2f_5c <- f_projection3(data = cypfb_env, format = 3, stageframe = cypframe_fb,
supplement = cypsupp2_fb, modelsuite = cypmodels2_env1, times = 101,
ind_terms = mean_real)
> Warning: Option year not set, so will cycle through existing years.
> Warning: Option patch not set, so will set to first patch/population.
> Warning: Too few values of individual covariates have been supplied. Some will
> be cycled.
summary(trial2f_5a)
>
> The input lefkoProj object covers 1 population-patches.
> It is a single projection including 101 projected steps per replicate, and 1 replicates, respectively.
> The number of replicates with population size above the threshold size of 1 is as in
> the following matrix, with pop-patches given by column and milepost times given by row:
> $milepost_sums
> 1 1
> 0 1
> 0.25 1
> 0.5 1
> 0.75 1
> 1 1
>
> $extinction_times
> [1] NA
summary(trial2f_5b)
>
> The input lefkoProj object covers 1 population-patches.
> It is a single projection including 101 projected steps per replicate, and 1 replicates, respectively.
> The number of replicates with population size above the threshold size of 1 is as in
> the following matrix, with pop-patches given by column and milepost times given by row:
> $milepost_sums
> 1 1
> 0 1
> 0.25 1
> 0.5 1
> 0.75 1
> 1 1
>
> $extinction_times
> [1] NA
summary(trial2f_5c)
>
> The input lefkoProj object covers 1 population-patches.
> It is a single projection including 101 projected steps per replicate, and 1 replicates, respectively.
> The number of replicates with population size above the threshold size of 1 is as in
> the following matrix, with pop-patches given by column and milepost times given by row:
> $milepost_sums
> 1 1
> 0 1
> 0.25 1
> 0.5 1
> 0.75 1
> 1 1
>
> $extinction_times
> [1] NA
Let’s plot the results of all six runs together (figure 8.13).
par(mfrow=c(3,2))
plot(trial2f_4a)
title("a)", adj = 0)
plot(trial2f_4b, ylab = "")
title("b)", adj = 0)
plot(trial2f_4c)
title("c)", adj = 0)
plot(trial2f_5a, ylab = "")
title("d)", adj = 0)
plot(trial2f_5b)
title("e)", adj = 0)
plot(trial2f_5c, ylab = "")
title("f)", adj = 0)

Figure 8.13: Cyclical function-based projections using 2007-2009 only (a, b, c), or all years (d, e, f,), assuming all six real precip values (a, d), precip for 2004 only (b, e), or mean precip over 2004-2009 (d, f).
The choice of which years and individual covariate values led to some very interesting differences.
The approach above can be used to program any particular order of years. The year
option should simply be paired with a vector of whatever length showing the order of year terms desired. Here, we use a sequence of years initially switching between years 2007 and 2008, then settling into 2008 for nine years, and ending on year 2005. Let’s assume constant mean precipitation.
year_order <- c(2007, 2008, 2007, 2008, 2007, 2008, 2007, 2008, 2007, 2008,
2008, 2008, 2008, 2008, 2008, 2008, 2008, 2008, 2008, 2005)
trial2f_6 <- f_projection3(data = cypfb_env, format = 3, stageframe = cypframe_fb,
supplement = cypsupp2_fb, modelsuite = cypmodels2_env1, year = year_order,
times = 20, ind_terms = mean_real)
> Warning: Option patch not set, so will set to first patch/population.
> Warning: Too few values of individual covariates have been supplied. Some will
> be cycled.
summary(trial2f_6)
>
> The input lefkoProj object covers 1 population-patches.
> It is a single projection including 20 projected steps per replicate, and 1 replicates, respectively.
> The number of replicates with population size above the threshold size of 1 is as in
> the following matrix, with pop-patches given by column and milepost times given by row:
> $milepost_sums
> 1 1
> 0 1
> 0.25 1
> 0.5 1
> 0.75 1
> 1 1
>
> $extinction_times
> [1] NA
As before, if we set a larger number for times
than we will cycle through the sequence.
trial2f_7 <- f_projection3(data = cypfb_env, format = 3, stageframe = cypframe_fb,
supplement = cypsupp2_fb, modelsuite = cypmodels2_env1, year = year_order,
times = 100, ind_terms = mean_real)
> Warning: Option patch not set, so will set to first patch/population.
> Warning: Too few values of individual covariates have been supplied. Some will
> be cycled.
summary(trial2f_7)
>
> The input lefkoProj object covers 1 population-patches.
> It is a single projection including 100 projected steps per replicate, and 1 replicates, respectively.
> The number of replicates with population size above the threshold size of 1 is as in
> the following matrix, with pop-patches given by column and milepost times given by row:
> $milepost_sums
> 1 1
> 0 1
> 0.25 1
> 0.5 1
> 0.75 1
> 1 1
>
> $extinction_times
> [1] NA
No extinction happened in either case. Let’s take a look at plots of these projections for further details (figure 8.14).
par(mfrow=c(1, 2))
plot(trial2f_6)
title("a)", adj= 0)
plot(trial2f_7, ylab = "")
title("b)", adj= 0)

Figure 8.14: Ordered progression of year terms used in projection. (a) Specific sequence of 20 years projected for 20 years. (b) Specific sequence of 20 years projected cyclically for 100 years.
The population appears to grow. When cycled, the year values cause small dips at roughly 20 year intervals, with large upswings as time goes on.
8.5 Appending projections together
Once constructed, a need might arise to combine some projections into the same output. This generally arises when the same population matrices or function-based MPMs are projected under different conditions, or when sub-populations are run separately and then need to be put back together. Users interested in appending one projection to another can use function append_lP()
.
Below, we create a new lefkoMat
object holding an MPM with only patch A from our original dataset. We then project it forward for 100 time steps, setting the integeronly
option so that only integers are possible. Finally, we append this projection to our patch-level projection with all three patches and the mean projected 100 time steps forward.
cypmatrix3r_A <- rlefko3(data = cypraw_v1, stageframe = cypframe_raw,
year = "all", patch = "A", stages = c("stage3", "stage2", "stage1"),
size = c("size3added", "size2added", "size1added"), supplement = cypsupp3_raw,
yearcol = "year2", patchcol = "patchid", indivcol = "individ",
sparse_output = TRUE)
cypproj3_A_c1000 <- projection3(cypmatrix3r_A, integeronly = TRUE, times = 1000)
cyp_appended <- append_lP(cypproj3p_c100, cypproj3_A_c1000)
summary(cyp_appended)
>
> The input lefkoProj object covers 4 population-patches.
> It is an appended projection, including an average and maximum of 280 and 1000 steps per
> replicate, and an average and maximum of 1.25 and 2 replicates.
> The number of replicates with population size above the threshold size of 1 is as in
> the following matrix, with pop-patches given by column and milepost times given by row:
> $milepost_sums
> 1 A 1 B 1 C 1 0
> 0 2 1 1 1
> 0.25 0 1 1 1
> 0.5 0 1 1 1
> 0.75 0 1 1 1
> 1 0 1 1 1
>
> $extinction_times
> [1] NA
So there are some clear differences in these projections. Let’s plot the combined lefkoProj
object.
We can see the difference in projection length by comparing the x-axis, with the first projection for 1000 time steps and all others for 100.
8.6 Points to remember
- Package
lefko3
includes a number of functions to perform different styles of matrix projection.
- Function
projection3()
is the quickest simulation tool for most situations, because it uses pre-defined matrices and so does not create matrices at every step.
- The greatest generality is available with function
f_projection3()
, because it creates new matrices at every time step based on input vital rate models and user-defined conditions, including unique values of environmental or individual covariates.
- Projections can start with any particular population vector, and this can be set with the
start_input
andstart_frame
options.
- Annual and individual covariates can be used to develop custom projection using environmental variables.
- Projections may be appended together with the
append_lP()
function, provided that they share the same life history model as given in the associated stageframe.